The influence of Dy concentration on the thermoelectric properties of n-type Dy-doped Bi2Te3 pellets prepared by hydrothermal and carbon burial sintering
Penulis :
TonyKristiantoro, Dedi, Vivi Fauzia
Abstrak:
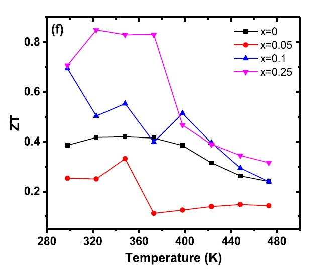
Dy-doped Bi2Te3 pellets with three different molar ratios between the precursors BiCl3 and DyCl3∙6H2O (x = 0.05, 0.1, and 0.25) were prepared by hydrothermal and carbon burial sintering. The excess of Dy ions in the highly doped samples (x = 0.25) remarkably increased the Seebeck coefficient, reduced the thermal conductivity, and increased ZT more than twofold in the temperature range of 323–375 K compared to pristine Bi2Te3. At low Dy concentrations (x = 0.05 and 0.1), the Dy ions substituted the TeBi antisites and then intercalated between the Bi2Te3 interlayers at higher concentration. The Dy ions act as both the phonon and charge carrier scattering centers which increase the scattering factor and decrease the point defect scattering relaxation time γ. The increase in the number of Te vacancies and the higher sound velocity of Dy (2710 m/s at 20 °C) compared to that of Bi (1790 m/s) considerably contribute to the improvement of the thermoelectric performance of pristine Bi2Te3.

Kata Kunci: lipi,ppet
Journal of Physics and Chemistry of Solids, Volume 158, November 2021, 110241
DOI: 10.1016/j.jpcs.2021.110241
Sivitas Terkait : Dedi, Tony Kristiantoro,